Integrates the ODEs from time 0 to
tf.
Reports the function values at tR.
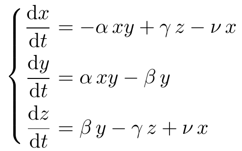
The embedded ODE's are in Fig., with
(x, y, y)0 the given
initial values.
This applies, from Python: for integration,
'scipy.integrate' 'odeint'; and, for optimization, 'minimize'.
Advantage is taken from: PHP,
for the web page; Python for the numerical segment;
and 'gnuplot', for plotting.
Draws a plot of the data. |
 |
Computation structure — A PHP file
(this page: 'P.reverse.php') calls (via
'action=...') an intermediate PHP file ('Reverse.php'), which
(through $_POST) sends the problem data as command line arguments to
a Python script. This last does the computing, and makes
'system' call(s) to 'gnuplot', for the final (temporary) webpage.
Files involved:
P.reverse.php (this one),
Reverse.php,
reverse.py.
Keywords: reverse kinetics; PHP;
Python; gnuplot. |
#• From "Parameter Estimation for a Chemical Reaction" (Maplesoft)
Reported (nonnegative): k = (0.0632294,
0.0186954, 0.0144413, 0.)
• Python minimize [in Optimization and root finding (scipy.optimize)],
accessed 12-Dec-2023.
• Gnuplot dashtype
• HTML Color Codes
• Python f-string
• CISTI'2027, 22.ª
Conferência Ibérica de Sistemas e Tecnologias de Informaçaão
(22.nd Iberian Conference on Information Systems and
Technologies), #... (Portugal), #25–28 June 2027.
• 1902-04-04: Hopf, Eberhard Frederich Ferdinand
(†1983-07-24, 81 yrs.). |