DEQ
ODEs, oxidation of CO
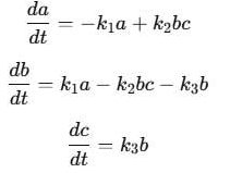
Nonlinear ODEs, oxidation of CO
2026.Feb.12 10:52:04
Final t Final t for integration.
Initial values Initial values.
Parameters Parameters.
Component Selected component # NOT USED.
Method        Method of integration.
x & y axes bounds (a = automatic) Lower, upper bounds for x, upper y in plot.
Points N. of plot points.
Show values Show graph coordinates.

Solves the system of ODEs in Fig. 1.

ODEs Fig. 1

Shows the graphical result.

References: Plate: OxicoODE

• (Wikipedia) PHP (from Personal Home Page)

• CISTI'2026, 20th Iberian Conference on Information Systems and Technologies", 17–19 June 2026, Sevilla (Spain), to be confirmed.

• 1891-03-18: Shewhart, Walter ANdrew (†1967-03-11, 75 yrs.).

 
 
Valid HTML 5! IST http://web.ist.utl.pt/~ist11038/compute/CISTI_2026/oxiCO/P-oxicoODE.php
Created: 2025-03-18 — Last modified: 2025-03-18