DEQ
System of nonlinear ODEs
System of nonlinear ODEs
2026.Feb.12 10:49:13
Final t Final t for integration.
Initial values Initial values.
Parameters Parameters.
Specification Specification # NOT USED.
Component Selected component (of x|y|z) # NOT USED.
Method        Method of integration.
x & y axes bounds (a = automatic) Lower, upper bounds for x, upper y in plot.
Points N. of plot points.
Show values Show graph coordinates.

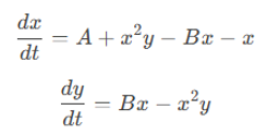
Solves the system of ODEs in Fig. 1.

ODEs Fig. 1

Shows the graphical result.

References: Plate: NonlODE

• (Wikipedia) PHP (from Personal Home Page)

• CISTI'2026, 20th Iberian Conference on Information Systems and Technologies", 17–19 June 2026, Sevilla (Spain), to be confirmed.

• 1930-03-10: Schläffer, Juan Jorge (†2017-02-12, 86 yrs.).

 
 
Valid HTML 5! IST http://web.ist.utl.pt/ist11038/compute/CISTI_2026/NLODE/P.nonlode.php
Created: 2025-03-10 — Last modified: 2025-09-06